Manual (How to use the app)
To prevent, that audible "clicks" on turning ON or OFF (generator, multi tones, bursts, test tones) appears, there is a short fade in / out, shown in the picture below:
Play a desired frequency:
- Tap in the textfield, then the numberpad appears.
- Enter the value.
- Tap to the button "Apply", then the numberpad disappears.
- Tap to the button "Output OFF" to start playing. It will change his colour to red.
Use the slider:
- Change the frequency value displayed in the textfield by using the two sliders.
- Tap to the button "Output OFF" to start playing. It will change his colour to red.
Use the left or right channel separately:
- Press the "L" or "R" button to set the left or right channel OFF or ON.
- Press the "INV" button to have a inverted output on the selected channel.
Mute the generator:
- Tap to the button "Output ON" to end playing. It will change his colour to gray.
Use the Bursts:
- Burst are typically used for testing the resonance the low end of the audio band. You can play the bursts and listen to the effects. Good soundsystem plays nearly exact the sequence at all frequencies, no resonances appear.
Here a good explanation (german) of how to use it.
- Bursts are described as sequence of waveperiods with positive or negative phase, diveded with sequences of "0". See the picture below:
There is also a short fade in and fade out at the beginnig/end.
You can adjust the three values via the "settings" button.
Use the multitones:
- We at sonic emotion use multi tones for measurmets of destortion. Some of the nonlinear distortions don't appears, when you play just one sine waves.
- Multiones contains a key tone with a amplitude of 1 and some harmonic with amplitude witch is less than 1 (default 0.25). The frequency depends on the value of the generator (eg the key note), the default facors are:
- 1.189, for the 3rd harmonic
- 1.414, for the 6nd harmonic
- 1.681, for the 9nd harmonic
Means that the output is for a key note tone with frequency f:
x(t)= sin(2*PI*f*t)
+ 0.25*sin(2*PI*f*1.189*t)
+ 0.25*sin(2*PI*f*1.414*t)
+ 0.25*sin(2*PI*f*1.681*t)
The "Multi" button turns the muli tone generator on.
Use the test sounds:
- White noise is made with the pseudo-random function (Link).
- Pink noise is 1/f filtered white noise. A good reference is: (Link).
- For "stereo", the noise is made with two independent generators.
- For "mono" only one generator is used for both channels.
- Glits are described as:
- Left Off 0.5 s
- Both On 0.5 s
- Right Off 0.5 s
- Both On 0.5 s
- Right Off 0.5 s
- Both On 1.5 s
at a frequency of 1 kHz.
See the picture below, the upper channel is left, the lower is right.
Or you can change the frequency, the time frame duration or the sequence by pressing the settings button.
Use the Bass Vent Calculator:
- A vented bass box is basically a resonance system, with a loudspeaker driver and a tube together in a box:
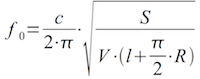
To calculate the resonance frequency f0 of the bass vent, you have to know:
- The inside box volume: V
- The vent diameter: d
- The vent length: l
- The speed of sound: c
In the app, you can calculate each of this values, not only the resonance frequency.
The calculation is done by:
- S is the surface of the tube
- R is the radius of the vent
Reference: Ivar Veit, technische Akustik (German, Amazon link)
Use the Baby Fan:
- The Baby Fan can be set to ON by pressing on the button...
Please don't use this tool too much, since a crying little baby needs first lovingly care from his parents. However, sometimes the parents can reach a point, where nothing else can help to calm the infant down. This situations the BabyFan is made for, hope it helps ...
Output through
AirPlay / Bluetooth:
- Connect your iPhone to the AirPlay / Bluetooth speaker.
- Switch to the iPod app, click on the AirPlay button to switch the output to the AirPlay speaker.

- Close the iPod app, open AudioSigGen, then the AirPlay output will be used for AudioSigGen as well.
...or just play with the app!